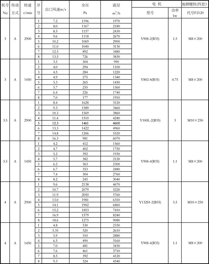
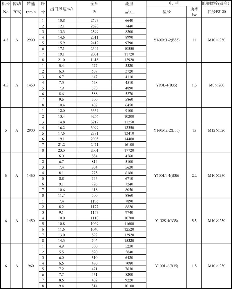
4-79 Centrifugal fan
Performance and Options Table














Welcome [ Wuxi Beirun Blower Manufacturing Co., Ltd. ] official website!















