8-09,9-12 Type centrifugal fan
8-09, 9-12 type centrifugal fan
1, Uses: 8-09, 9-12 type of iron furnace dedicated high-pressure centrifugal fan, suitable for 1 L / h, 2L / h,
3L / h, 7L / h melting rate of iron furnace blast performance requirements. The fan can also be used as a variety of furnace forging furnace furnace blast, but also for conveying air and non-corrosive, non-spontaneous combustion, does not contain viscous material gas. The temperature of the input medium does not exceed 80 ℃, the media contains dust and hard fine particles not more than 150mg / m3.
2, the form: 8-09 fan for a single inhalation, machine number is No.6.8A, 7.1 D, 8D, 8.5D, 9D a total of five.
9-12 fan for a single inhalation, machine number No6.8A, 7.1 A, 7.7A, 8D, 9D a total of five machine number.
8-09,9-12 fan can be made clockwise or counterclockwise rotation in two forms. From the motor side of the face, such as the impeller clockwise rotation, said clockwise rotation of the fan to "Shun" said, according to counterclockwise rotation, said counterclockwise rotation fan to "inverse" said.
The outlet position of the fan is expressed as the angle of the outlet of the enclosure. The "Shun" and "reverse" fans can be made into 0 °, 90 ° and 180 ° angles.
3, structural features: 8-09,9-12 fan by the impeller, chassis, air inlet, rotation group, seals, base and other components, for the 8-09 machine with local assembly mechanism, the other machine using the overall body The
① Impeller leaves are designed according to the new efficient forward fan theory. Impeller after forming by static, dynamic balance correction, so smooth and reliable operation.
② the chassis with ordinary steel welded into a scroll shell as a whole.
③ the air inlet made of convergent streamline of the overall structure, with bolts and front cover group fixed.
④ rotating group by the spindle, bearing box, coupling and other components, the spindle made of high quality steel. For the 8-09 type No.71D, No.BD using rolling bearing lubricating grease lubrication, for the 8-09 type No. 5.8, using rolling bearing lubricating oil lubrication.
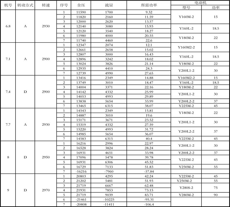
8-09 high pressure centrifugal fan performance parameters table
3L / h, 7L / h melting rate of iron furnace blast performance requirements. The fan can also be used as a variety of furnace forging furnace furnace blast, but also for conveying air and non-corrosive, non-spontaneous combustion, does not contain viscous material gas. The temperature of the input medium does not exceed 80 ℃, the media contains dust and hard fine particles not more than 150mg / m3.
2, the form: 8-09 fan for a single inhalation, machine number is No.6.8A, 7.1 D, 8D, 8.5D, 9D a total of five.
9-12 fan for a single inhalation, machine number No6.8A, 7.1 A, 7.7A, 8D, 9D a total of five machine number.
8-09,9-12 fan can be made clockwise or counterclockwise rotation in two forms. From the motor side of the face, such as the impeller clockwise rotation, said clockwise rotation of the fan to "Shun" said, according to counterclockwise rotation, said counterclockwise rotation fan to "inverse" said.
The outlet position of the fan is expressed as the angle of the outlet of the enclosure. The "Shun" and "reverse" fans can be made into 0 °, 90 ° and 180 ° angles.
3, structural features: 8-09,9-12 fan by the impeller, chassis, air inlet, rotation group, seals, base and other components, for the 8-09 machine with local assembly mechanism, the other machine using the overall body The
① Impeller leaves are designed according to the new efficient forward fan theory. Impeller after forming by static, dynamic balance correction, so smooth and reliable operation.
② the chassis with ordinary steel welded into a scroll shell as a whole.
③ the air inlet made of convergent streamline of the overall structure, with bolts and front cover group fixed.
④ rotating group by the spindle, bearing box, coupling and other components, the spindle made of high quality steel. For the 8-09 type No.71D, No.BD using rolling bearing lubricating grease lubrication, for the 8-09 type No. 5.8, using rolling bearing lubricating oil lubrication.
8-09 high pressure centrifugal fan performance parameters table


9-12 high pressure centrifugal fan performance table




